Subjects Include:
The History of Medicine
The History of Biological Warfare
Orthodox Medicine Under the Microscope
History of AIDS
Autism
Statins
Mass Medication Without Consent
The History of Biological Warfare (continued)
Interesting Factoids
This post follows on from my The Covid-19 Show: Part 1. Introduction: The Weapons post and The Covid-19 Show: Part 2. Method: The Revelation post. To be read in conjunction with my The Covid-19 Show: Appendix 1. Excess Deaths and Data Manipulation post. My The Covid-19 Show: Part 3. Conclusion: WMDs post follows on from here.
🎈The History of Medicine
Lawyer Reflects on Deposition of Leading Vaccinologist Stanley Plotkin | Aaron Siri
https://rumble.com/v6zj2re-lawyer-reflects-on-deposition-of-leading-vaccinologist-stanley-plotkin-aaro.html
and
Deposition of Dr Stanley Plotkin in 2018.
See the entire deposition here:
https://thehighwire.com/?s=Stanley+Plotkin
Robert F. Kennedy Jr Debates A Family Physician On Vaccine Safety During the NewsNation Town Hall.
Childhood vaccines are not tested for safety.
RFK Jr. sets argumentative journalist straight on the topic of vaccines:
“My position on vaccines... is that vaccines should be tested, like other medicines.”
“Of the 72 vaccine doses now mandated... for American children, none of them—not one—has ever been subject to a pre-licensing, placebo-controlled trial.”
“Other medicines are required to do that, and we should have to do that for vaccines. If I’m wrong, show me the test. Show me the study. You won’t be able to, because there are none.”
“That means that we don’t know what the long-term risks are.”
and
Robert Kennedy jr: ‘No Single Childhood Vaccine has been subject to a pre-licensing, Placebo-controlled Safety Testing Trial’ (9th November 2024). Galactic Anthropology.
https://gondolath.org/2024/11/09/robert-kennedy-jr-no-single-childhood-vaccine-has-been-subject-to-a-pre-licensing-placebo-controlled-safety-testing-trial/
and
and
Remember Melinda Gates saying they should inject black men with the Covid-19 “vaccine” [experimental gene therapy] first?
Gates and WHO Admit to Using Vaccination to Sterilise Kenyan Women | RFK Jr
https://rumble.com/v65l6da-gates-and-who-admit-to-using-vaccination-to-sterilise-kenyan-women-rfk-jr.html
Eugenics Rebranded as Health Care: The Example of Polio
This is a clip from the series Jefferey Jaxen Investigates: Polio: The Founding Myth of Modern Medicine
https://rumble.com/v6agvks-eugenics-rebranded-as-health-care-the-example-of-polio.html
Eugenics Rebranded as Health Care: The Crimes of Bill Gates
Rebranding is one of the tricks-of-the-trade now, in public health. Swap out the name of a condition to another name and claim you have “cured” the disease.
https://rumble.com/v6agrf7-eugenics-rebranded-as-health-care-the-crimes-of-bill-gates.html
Eugenics Rebranded as Healthcare | Whitney Webb
“They’re looking at feudalism, and how do you create a class of slaves that cannot even cognitively rebel, ever again.”
https://rumble.com/v6agk04-eugenics-rebranded-as-healthcare-whitney-webb.html
Rockefellers RIGGED Medicine: From Oil to Mind Control EXPOSED! (19th May 2025) Kim Iversen.
"Dr. Lynn Lafferty is a Doctor of Pharmacy, a Diplomate from the American Clinical Board of Nutrition, a Naturopathic Doctor, a Master Herbalist, and a chef. As an Endowed Professor at Nova Southeastern University, Dr. Lafferty loves to teach and is committed to finding the safest and most effective means to promote health and wellness."
Dark Origins of Big Pharma: John D. Rockefeller’s Empire | Forgotten History (27th February 2025)
"Modern medicine as we know it wasn’t shaped by doctors alone—it was engineered by John D. Rockefeller. In the early 20th century, Rockefeller and his oil empire helped transform medicine into a pharmaceutical industry, sidelining natural remedies and alternative medicine in favor of synthetic, patented drugs."
Big Pharma History - How John D Rockefeller Created Western Medicine. (6th November 2021).
How Rich Eugenicists Weaponised Medicine: 100 Year Path to Covid Crimes
The Carnegies and the Rockefellers worked with Abraham Flexnor to invade human health care.
☠️ 💊 Mikki Willis: One of the Most Diabolical Stories of Our Time is the Creation of Big Pharma By the Rockefellers
https://rumble.com/v5pi5hz-rockefeller-big-pharma.html
Rockefellers are Satanist
Bloodlines of the Illuminati by Fritz Springmeier (1995).
Free to download from the CIA Library:
and
The Rockefeller Foundation funded Mengele’s research into Eugenics, the theory of a Master Race. This gave science to the idea that the Jews were inferior and should be exterminated.
Foundations of Holocaust: American eugenics and the Nazi connection. (30th December 2012). Jerusalem Post.
“America funds Rassenhygiene: We have already seen that the Carnegie Institute was supporting German eugenics as early as the 1920’s. But Carnegie was not alone. “The Rockefeller Foundation also supported German eugenics, even funded the “program that Josef Mengele worked in before he went to Auschwitz.” The Foundation funded both eugenic research and building the laboratories to house the researchers. First among these was the Kaiser Wilhelm Institute in Berlin.”
and
This is how the medicine of eugenics presents in contemporary context of the Covid-19 pandemic
with
and
Interesting to note that Melinda Gates was a benefactor of Jacinda Ardern who was the Prime Minister during the Covid-19 Pandemic. Do you see how it all all matches up?
The Great Prelude: Smallpox Vaccination (30th June 2025) Peter A. McCullough, MD, MPH
Origins of Vaccinology as a Religion Exposited in our New Book: Vaccines: Mythology, Ideology, and Reality
and
Vaccines: Mythology, Ideology, and Reality (2025) John Leake and Peter A. McCullough MD MPH
CDC Removes MERCURY from ALL Flu Shots! w/ Mary Holland (7th July 2025) The Jimmy Dore Show
FDA Commits Grave Betrayal: Fully Approves Deadly Genetic Injections for Infants (12th July 2025)
Epidemiologist Nicolas Hulscher on Daily Pulse with Maria Zeee. Neurotoxic, cardiotoxic, carcinogenic but only for the most vulnerable ie premature babies.
NICU Nurse on Effects of Vaccines on Premature Babies | Kristen Nagle
7 minutes
https://rumble.com/v6xwep8-nicu-nurse-on-effects-of-vaccines-on-premature-babies-kristen-nagle.html
BREAKING: CDC Sued for Pushing Illegal 72-Dose Childhood Vaccine Schedule (19th August 2025) Nicolas Hulscher, MPH
CDC accused of running an illegal and unconstitutional hyper-vaccination program — never once tested for cumulative safety.
The Thimerosal Bomb in Vaccines
"Dr Mark Geier, a geneticist and Dr David Geier, a biochemist, talk about thimerosal, a mercury compound, which was in many vaccines for a period. Demetre Daskalakis, former head of the US CDC National Center for Immunization and Respiratory Diseases, has claimed recently that thimerosal is in fact safe.
What is the role of the self-proclaimed Satanist Demetre Daskalakis?
Donald Trump shared this video on Truth Social on 9 September. Grok claimed the video may not be authentic. When corrected, Grok took a while to admit the error.
https://x.com/Moore22K/status/1965106927513600085"
https://rumble.com/v6yoc6m-the-thimerosal-bomb-in-vaccines.html
Tell me again how injecting pus and poison from the uterus onward makes people healthy? And how doing more of it makes people healthier? (10th September 2025) Rima E Laibow MD
Fauci | "They Were Torturing These Children. There Is Footage In An Old BBC Documentary That Will Make You Cry...Found the Cemetery Where Fauci Was Disposing of the Corpses of the Children..." - Robert F. Kennedy Jr.
https://rumble.com/v63butb-fauci-they-were-torturing-these-children.-there-is-footage-in-an-old.html
https://x.com/VigilantFox/status/1977564809567560112 (13th October 2025)
He proved unvaccinated kids were healthier. They revoked his license.
Dr. Paul Thomas studied 3,324 children and found unvaccinated kids had FEWER doctor visits and BETTER health outcomes. Here’s what his data showed:
Fever – 9.1× higher in vaccinated
Ear Pain – 3.4× higher
Otitis Media (Ear Infections) – 2.9× higher
Conjunctivitis – 2.4× higher
Eye Disorders (Other) – 1.8× higher
Asthma – 5.2× higher
Allergic Rhinitis (Hay Fever) – 6.9× higher
Sinusitis – 4.3× higher
Breathing Issues – 2.9× higher
Anemia – 5.5× higher
Eczema – 4.5× higher
Urticaria (Hives) – 2.1× higher
Dermatitis – 1.4× higher
Behavioral Issues – 4.1× higher
Gastroenteritis – 4.7× higher Weight/Eating Disorders – 2.5× higher
ADHD – 0 cases in unvaccinated group
*Data based on how often children visited the doctor for each condition*
Instead of investigating the findings, the Oregon Medical Board suspended Dr. Thomas’s license—just days after the study was published. Months later, the study was retracted. Dr. Paul Thomas isn’t the only one who faced swift punishment for publishing inconvenient science. Other doctors have faced similar consequences for exposing the same pattern. The question is: Why are doctors being punished simply for comparing vaccinated and unvaccinated kids?
An Inconvenient Study
https://rumble.com/v708dfw-an-inconvenient-study-feature-film.html
Evidence linking horror drug thalidomide to Nazis | 60 Minutes Australia (7th October 2025)
I’m not sure if this belongs in the History Of Medicine or History Of Biological Warfare section:
🎈The History Of Biological Warfare
Bird Flu and Biowarfare: Dr David Martin
https://rumble.com/v66dgqy-bird-flu-and-biowarfare-dr-david-martin.html
Plandemic 1 - Official Movie
26 minutes.
https://rumble.com/v6x0wgu-plandemic-1-official-movie.html
Murder/Capitalism POISON/ADDICTION Profit Model (YouTube playlist).
https://www.youtube.com/playlist?list=PLHSL33o2NTsBHtPka4HUVp4gzXeS9Dhh_
Vaccines: 300 Years of Faith, Fear and Fraud | The Highwire
Dr. Peter McCullough and author John Leake to discuss their new book, “Vaccines: Mythology, Ideology, and Reality.”
https://rumble.com/v6xwdwu-vaccines-300-years-of-faith-fear-and-fraud-the-highwire.html
The Disappearing Male - Science Documentary (30th August 2023)
"The Common Chemicals That Are Making Men Infertile”
“The Disappearing Male is about one of the most important, and least publicized, issues facing the human species: the toxic threat to the male reproductive system.
The last few decades have seen steady and dramatic increases in the incidence of boys and young men suffering from genital deformities, low sperm count, sperm abnormalities and testicular cancer.
At the same time, boys are now far more at risk of suffering from ADHD, autism, Tourette's syndrome, cerebral palsy, and dyslexia.
The Disappearing Male takes a close and disturbing look at what many doctors and researchers now suspect are responsible for many of these problems: a class of common chemicals that are ubiquitous in our world.
Found in everything from shampoo, sunglasses, meat and dairy products, carpet, cosmetics and baby bottles, they are called "hormone mimicking" or "endocrine disrupting" chemicals and they may be starting to damage the most basic building blocks of human development.”
Foundations of Holocaust: American eugenics and the Nazi connection (30th December 2012)
https://www.jpost.com/blogs/the-jewish-problem---from-anti-judaism-to-anti-semitism/foundations-of-holocaust-american-eugenics-and-the-nazi-connection-364998
47 Pesticides Found in U.S. Homes, Water, and People — As Congress Moves to Shield Manufacturers (4th August 2025) Nicolas Hulscher, MPH
Invasion of toxic herbicides, insecticides, and fungicide.
and
Occurrence of Current-Use Pesticides in Paired Indoor Dust, Drinking Water, and Urine Samples from the United States: Risk Prioritization and Health Implications (June 2025) Yichun XieYichun, Juying Li, Amina Salamova, Guomao Zheng
https://pubs.acs.org/doi/10.1021/acs.est.5c00961#
The Great Blood Pressure Scam (30th July 2025) A Midwestern Doctor Exploring the Forgotten Causes and Treatments of Hypertension and the Dangers of BP Medications
Murder by Injection: The Story of the Medical Conspiracy Against America (2016) Eustace Mullins
https://archive.org/details/MurderByInjection.EustaceMullins
and
Murder By Injection | Eustace Mullins
https://rumble.com/v6x8j7m-murder-by-injection-eustace-mullins.html
Robert Koch's Vicious Human Experiments in Africa (21st July 2025) Aldhissla
Koch operated medical concentration camps in Africa, causing immeasurable suffering and pain for thousands of people.
Bill Gates' "GAVI, the Vaccine Alliance" Will No Longer Receive Funding from the U.S. (26th June 2025) Eccentrik
Sorry Billy boy, but your days of killing third-worlders and everyone else may be winding down...
New Zealand promotes expensive cancer therapy while at the same time promoting one of the causes of cancer (15th May 2025) by Rhoda Wilson of The Exposé
New Zealand has the highest rate of lymphoma in the world while organic Bhutan has the lowest rate. CAR T-cell therapy is considered a miracle cure for New Zealand's rising cancer rates but there is no evidence to support this.
https://expose-news.com/2025/05/15/new-zealand-promotes-expensive-cancer-therapy/
and
The Ministry for Primary Industries (“MPI”) has announced its intention to raise the allowable glyphosate residue limits on food crops. See website with comprehensive information: https://nomoreglyphosate.nz/more-glyphosate-on-your-plate/
Surprising Truths About Vaccines, Polio and Medicine: Dr Suzanne Humphries w/Mike Adams (1 hour)
https://rumble.com/v6t00sz-surprising-truths-about-vaccines-polio-and-medicine-dr-suzanne-humphries-wm.html
UN Pushes NEW Lockdowns to Counter Swine Flu, Chinese “Mystery Pneumonia”
https://rumble.com/v3z14zf-un-pushes-new-lockdowns-to-counter-swine-flu-chinese-mystery-pneumonia.html
KILL SHOT: The CIA's SV40 Cancer Weapon
"In the summer of 1963, a young girl found herself caught up in a clandestine covert operation to eliminate Fidel Castro. This wouldn't be a shot heard around the world, but rather, a silent shot of super cancer-causing poison, derived from a monkey simian virus called SV-40.
This tale has everything from murder, espionage, a tragic love story, to bioweapons and the genesis of gain-of-function research, weaponized in covid-19."
https://rumble.com/v3mroia-kill-shot-the-cias-sv40-cancer-weapon-full-story-w-shannon-joy.html
"There is an opportunity in this country to talk about the holistic poisoning of people"
Brain Surgeon vs Pharma Lobbyist: What's REALLY Making You Sick | Jack Kruse vs Calley Means (27th December 2024) Danny Jones
Calley Means: former food & pharma lobbyist. Dr. Jack Kruse: neurosurgeon & Dr. Mary Bowden is a board certified otolaryngologist
Unintended Holistic Doctor Death Series: Over 100 Dead | Health, Holistic Doctor Deaths, Politics (13th March 2016). Erin Elizabeth
https://healthnutnews.com/recap/
Baxter Pharmaceutical products contained bird flu (11th March 2009): https://www.fiercepharma.com/vaccines/baxter-vax-products-contained-bird-flu-virus
and
Comprehensive Study: There Are ZERO Amish Kids Suffering From Cancer, Diabetes or Autism. (8th July 2023).
Amish children are not vaccinated. I don’t believe all the ‘debunking’ studies commissioned by Big Pharma.
https://truthbasedmedia.com/2023/07/08/comprehensive-study-there-are-zero-amish-kids-suffering-from-cancer-diabetes-or-autism/
The Constant Gardener (2005) Official Trailer - Ralph Fiennes, Rachel Weisz Movie
Based on a true story of Pfizer’s exploits in Kano, Nigeria and the government cover-up.
FunVax Lecture at the Pentagon - Must See to Believe! (2nd June 2011).
and
After watching the FunVax video I tried to find out more about it and found various “Fact Check” articles ‘debunking’ it. At least one article said that it was a clip from a movie that never got off the ground, yet the so-called movie producer shape-shifted into a psychiatrist and went on to diagnose anyone who believed it to be true as someone with a terrible personality disorder. Hilarious. I knew it was authentic because the poor sound quality, not all those in the audience had a microphone handy. Also if it was cinematic it would pan in and out of faces and it would not be videoed from the back of the room, unless there was lots of zooming in and out. I tweeted these various poor quality psyops attempts with the #FunVax and the man who videoed this tweeted me. We connected and I saw his pinned tweet. He had authenticated the video months previously. Jason Kilanski and I have kept in touch. He said that he did not recognise anyone in the room though he had worked for years at the Pentagon, so that was unusual. Jason said that the video was not classified by DoD, so I think this is The Cabal of the Shadow Government that I hear about from former CIA and FBI. Jason was asked to record the briefing, he did, he left it on his laptop when he stopped working at the Pentagon.
and
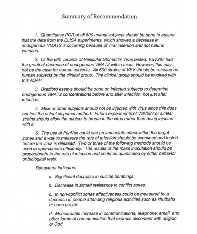
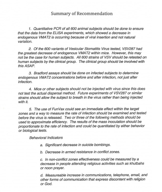
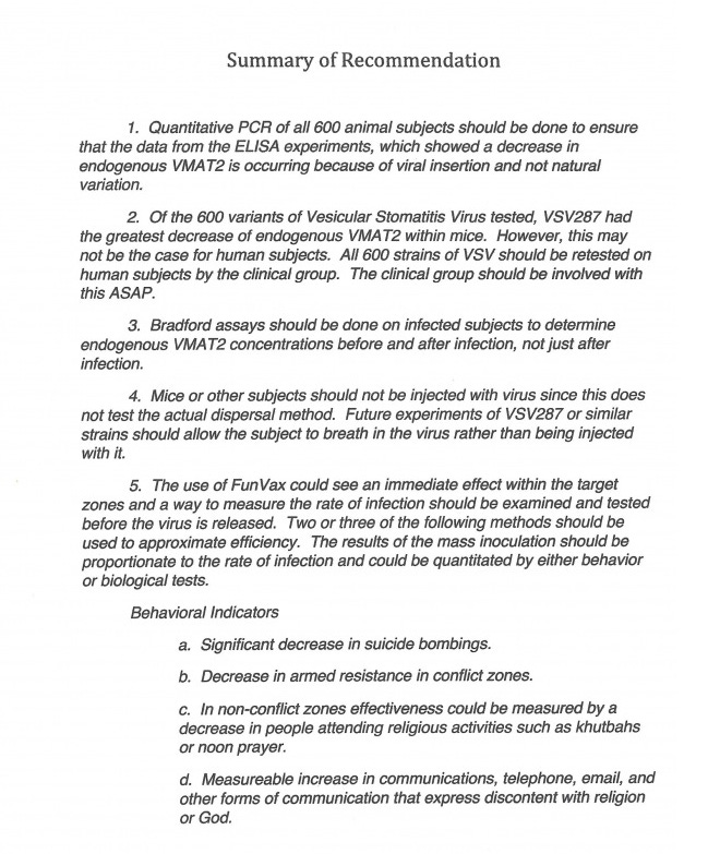
Quarterly FunVax Review (June 2007)
In the Quarterly FunVax Review in June, 2007: the objective of a project listed as ID: 149AZ2 as a preparation of a viral vector that will inhibit/decrease the expression of a specific disruption gene (VMAT2) within a human population. (Pentagon).
https://www.wanttoknow.info/health/funvax070601.pdf pages (1-14/30)
page 6:
and
The San Francisco Chronical went as far on 10th November 2021 as to accuse people who believed that the FunVax video could be real: have severe psychiatric disorders. Disturbing to say the least. As a qualified associate teacher in speech and drama with the Trinity College of London I assessed FunVax as being authentic before I knew that the soldier who filmed it authenticated it on Twitter, and even after reading the Fact Choaker articles. Am I crazy? I’m sure thousands would agree with that. See my Mind Control post for information about fact checkers and other forms of subversion.
I created the FunVax conspiracy theory. Now I’m trying to kill it. (10th November 2021).
https://www.sfchronicle.com/opinion/openforum/article/Opinion-I-created-the-FunVax-conspiracy-theory-16178681.php
Here is another Fact Checker article that supports the hypothesis that FunVax is a prank. Because Conspiracy Theorists don’t have enough material from conspirators to theorise about and have to make things up as they go along?
https://www.snopes.com/fact-check/funvax/
You might be interested in reading the 35 page testimony allegedly of the man who leaked the FunVax video and it contains the pages of the FunVax document, take from it what you will. It includes information about the population control tetanus vaccine:
https://archive.org/details/fundamentalism-vaccine-fun-vax/mode/2up
and
Destroying Our Connection to God with Gene Editing Injections by Greg Reese
https://rumble.com/v4wj5gi-destroying-our-connection-to-god-with-gene-editing-injections.html
This Doctor Proved They’ve Been Doing Biowarfare For Decades. Now They’re Censoring Her. (9th March 2024). Kim Iversen with Dr Nass.
Anthrax, to reduce wealth of blacks in Rhodesia (Zimbabwe) or fight etc.
Julian Assange, Evil Smart Dust is Everywhere in Everything. (1st November 2018).
I think this was Assange’s last transmission from the Ecuadorian Embassy before his transmission was cut.
For the Past 45 Years, the Medical Diagnostic System Has Been Rigged to Cover-Up Infant Deaths Caused by Vaccines (25th February 2025). Karen Kingston
The Polio Paradox With Dr Suzanne Humphries on The Highwire
Nephrologist and co-author of 'Dissolving Illusions', Suzanne Humphries, MD.
https://rumble.com/v683s6a-the-polio-paradox-with-dr-suzanne-humphries-on-the-highwire.html
30 Years Ago Dr. Robert Willner Accused Fauci and Others of Genocide Over the HIV Crisis
https://rumble.com/v20bws6-30-years-ago-dr.-robert-willner-accused-fauci-and-others-of-genocide-over-t.html
Horrific: RDK Jr reveals Fauci's heinous deadly experiments on children
Fauci uses children without a parent or guardian for experiments then their bodies are all buried together, white coffins stacked on top of each other.
https://rumble.com/v5omvcb-horrific-rdk-jr-reveals-faucis-heinous-deadly-experiments-on-children.html
Here's a deleted Bill Gates Documentary brought back into the light.
https://rumble.com/v5n4f12-heres-a-deleted-bill-gates-documentary-brought-back-into-the-light.html
TGA ignored DNA fragments in Gardasil HPV vaccine, by @MaryanneDemasi (19th November 2024).
"International drug regulators said there were DNA fragments in the Gardasil vaccine, but Australia’s TGA sat on its hands and did nothing."
“Pfizer, the world’s largest drugs company, has been hit with the biggest criminal fine in US history as part of a $2.3bn settlement with federal prosecutors for mispromoting medicines and for paying kickbacks to compliant doctors.”
https://www.justice.gov/opa/pr/justice-department-announces-largest-health-care-fraud-settlement-its-history?s=35
Over 300 pages of evidence from the CDC show that vaccines cause autism, by @stkirsch (18th November 2024).
Recently, I received a treasure trove of documents from a source inside the CDC showing they've known for over 20 years that Wakefield was right: vaccines cause autism.
https://x.com/stkirsch/status/1746799095451418839
The Great Blood Pressure Scam. (30th July 2024).
Exploring the Forgotten Causes and Treatments of Hypertension and the Dangers of BP Medications. Not directly related to Covid but as you can see it is another medical or pharmaceutical scam.
Joseph Moshe H5N1 Ukraine Plague Warning (7th November 2009)
Professor Moshe called Dr. A. True Ott on Republic Broadcasting two days before his arrest august 13th 2009: Tainted H1N1 Swine flu vaccines being produced by Baxter BioPharma Solutions.
Neuropsychiatrist & Coroner Reveals What is Destroying the Human Brain & Nervous System (30th June 2025)
and
Nothing 'tinfoil' about recognising the dangers of radiation
The Non-Tinfoil Guide to EMFs: How to Fix Our Stupid Use of Technology (2017) Nicolas Pineault
"Mercury Has FINALLY Been Taken Out of All Childhood Vaccines, This Has Been a 30 Year Battle" (29th June 2025) Eccentrik
But what will it be replaced with...?
Mercury is the most toxic substance on the planet. They are not TRYING to disable our children.
BREAKING: CDC Sued for Pushing Illegal 72-Dose Childhood Vaccine Schedule (19th August 2025) Nicolas Hulscher, MPH
“CDC accused of running an illegal and unconstitutional hyper-vaccination program — never once tested for cumulative safety.”
🎈Orthodox Medicine Under the Microscope
First some infotainment:
The Downfall of Virus Theory is Happening
https://rumble.com/v1i9669-the-downfall-of-virus-theory-is-happening.html
Parasites and the Virus Deception - with Dr. Lee Merritt - Greg Reese (1 hour 10 minutes)
https://rumble.com/v4il6z0-parasites-and-the-virus-deception-with-dr.-lee-merritt-greg-reese.html
Dr. Karen Ruthman - Big Pharma Whistleblower Found Dead After Confirming Ivermectin Cures Cancer (13th May 2025) Pasheen Stonebrooke
and the hidden link between parasites and cancer...
The Ugly History of Vaccines: Part 1| Dr. Suzanne Humphries. (9th March 2024).
In 2008, Dr. Suzanne Humphries noticed that her patients were being vaccinated in the hospital she worked at with a signature bearing her name. She did not consent to this, but it was part of a new hospital policy at the time.
This incident pushed her to look into vaccination.
She spent the next ten years in the depths of medical research, vaccination history, immunology and the child vaccination program. From smallpox to polio to modern times.
The results of her research have been eye-opening, which he has published in two books, “Dissolving Illusions” and “Rising From The Dead.”
Today we will discuss what she uncovered about the early history of vaccines.
and
Dr. Suzanne Humphries - The Hidden History of Vaccines - Smallpox Illusion and Vaccine Delusions
The Joe Rogan Experience | Dr. Suzanne Humphries (2294)
https://rumble.com/v6rgy6r-the-joe-rogan-experience-dr.-suzanne-humphries-2294.html
The Fallacies of Virology and the Inversion of Natural Health. Greg Reese. (Germ Theory vs Terrain Theory).
Viruses cannot be isolated, because it cannot exist outside a living cell. It cannot spread.
Virology is not a science, it is a fraud.
https://rumble.com/v4k75lu-the-fallacies-of-virology-and-the-inversion-of-natural-health.html
The Ultimate Comparison : Viruses & Nanoparticles (2nd March 2025). Telestai Nexus
40 Perspectives, 400 Key Findings, 2000+ Studies: Earth Shattering results : Most of what we called “viruses” are identical to “Necro Coronas of Molecular Spikes” (Dominique Guillet)!
Jonathan Otto - Exposing Big Pharma. (6th April 2025) Grimerica Outlawed
Jonathan Otto joins us for a great chat about studies and natural protocols for cancer, parasites and jab injuries, and all sorts of maladies.
Viruses Don’t Exist. Deal With It. (Part 1) (21st April 202) Anthony Colpo
Why viruses are the Bigfoot of modern medicine.
The Viral Delusion Episode One: Behind The Curtain of The Pandemic (24th July 2025) Michael Wallach
The Tragic Pseudoscience of SARS-CoV2 & The Madness of Modern Virology
Inside mRNA Vaccines (Documentary)
1 hour
https://rumble.com/v6xgshe-inside-mrna-vaccines-documentary.html
🎈History of AIDS
and
National HIV Archive 11th - 15th May 1987
https://www.hivireland.ie/wp-content/uploads/1987_Print_Media_005_May_11th_to_15th-WebSize.pdf
and
Smallpox Vaccination Policy — The Need for Dialogue Anthony S. Fauci, M.D. (25th April 2002).
https://www.nejm.org/doi/full/10.1056/nejm200204253461711
and
Positively False: Birth of a Heresy | AIDS Documentary
https://rumble.com/v6zzxym-positively-false-birth-of-a-heresy-aids-documentary.html
HIV War, Basic History And Who They Were: "Evidence Offered With Respect To Historical Events Concerning Consensus And Dissent On The HIV-AIDS Hypothesis" History For Context And Posterity (30th June 2025) Celia Farber
That looks remarkably like MPox?
AIDS with Dr Anthony Fauci NIH (1984)
https://rumble.com/v5uu2p8-aids-with-dr-anthony-fauci-nih-1984.html
The origin of HIV AIDS
https://rumble.com/v4f3tpk-the-origin-of-hiv-aids-the-best-documentary-channel-4.html
Short video of Fauci saying what is said in the meme below: https://rumble.com/v1dlkqv-anthony-fauci-on-the-aids-vaccine-in-1999.html
The House That AIDS Built by Liam Scheff (thank you Celia Farber)
https://www.altheal.org/toxicity/house.html
AIDS War History: Extensive, Accurate Account Of How Christine Maggiore and Liam Scheff Unearthed The ICC Scandal--Fauci's NIAID Sponsored Lethal Experiments On Orphans (4th January 2024) by Celia Farber
Part 2.
“The Scandal Erupts, Gets Covered By International Media, BBC Picks It Up--What Happened Next, How It Was REMOVED From BBC By AIDS Activists, Next Installment”
with
AIDS War History: Liam Scheff's Second ICC Article, "Inside Incarnation," NYP, 2005: "I Watched Them Drugging This Little Boy To Death" (4th January 2024). by Celia Farber.
Part 3
"One Day We Came In And He Was Bleeding From Every Hole In His Body--His Rectum, His Nose, His Mouth." This Was An NIAID Study Under Tony Fauci And Militantly Guarded By AIDS Activists”
Link to 6 page article: https://pearl-hifi.com/11_Spirited_Growth/10_Health_Neg/04_Pandemics/01_AIDS/Liam_Scheff__Inside_Incantation.pdf
and
Was AIDS caused by SV40 in the Polio vaccine?
BioNTech RNA-Based COVID-19 Injections Contain Large Amounts Of Residual DNA Including An SV40 Promoter/Enhancer Sequence. (December 2024).
https://publichealthpolicyjournal.com/biontech-rna-based-covid-19-injections-contain-large-amounts-of-residual-dna-including-an-sv40-promoter-enhancer-sequence/
and
CONGO was Ground Zero for testing the Polio vaccine that contained SV40.
The true story of SV40, the cancer-causing virus hidden in polio vaccines (29th June 2011). Natural News.
https://www.naturalnews.com/032854_SV40_polio_vaccines.html
CONGO is Ground Zero for HIV AIDS (and polio vaccine containing SV40).
The origins of AIDS: from patient zero to ground zero by Jacques Pépin (2012).
“ … medical interventions, or more generally scientific initiatives, can have disastrous and unpredictable long-term consequences: more prudence and humility from scientists would be useful for the future of mankind. For instance, one wonders whether manipulating the genome of the H5N1 influenza virus to enhance its transmissibility between humans is really a good idea.”
https://jech.bmj.com/content/67/6/473
https://jech.bmj.com/content/jech/67/6/473.full.pdf (3 page document)
and
“SV40 is present in every cancer or HIV case I have seen in the past 5 years. This means there was no case without it. People without cancer or HIV/AIDS do not have it, but this conclusion is based on only 2 dozen, or so, case studies” Dr Hulda Clark.
https://drclark.org/en-us/disease-a-protocols/hiv-page/oncovirus-sv40-and-hiv
and
SV40 is found in cancer and AIDS patients
SV40, vaccines, and AIDS by Geraldo Fuentes, (4th December 2009).
http://www.viewzone.com/sv40.html
cited: https://newslog.cyberjournal.org/geraldo-fuentes-sv40-vaccines-and-aids/
and
The origin of HIV AIDS
https://rumble.com/v4f3tpk-the-origin-of-hiv-aids-the-best-documentary-channel-4.html
and
The origin of AIDS documentary (2003)
WHO Provides Update on Mystery ‘Disease X’ That Has Left Dozens Dead in Congo. (11th December 2024). The Epoch Times.
“The disease, found in a remote part of the Democratic Republic of the Congo, poses a ‘high’ risk to affected areas, WHO said.”
https://www.theepochtimes.com/world/who-provides-update-on-mystery-disease-x-that-has-left-dozens-dead-in-congo-5774734
CONGO is Ground Zero for Monkey Pox (and polio vaccine containing SV40).
Vaccinating against Monkey Pox in the Democratic Republic of CONGO (2018):
https://pubmed.ncbi.nlm.nih.gov/30445121/ (2018)
Congo is suffering biggest mpox outbreak ever that could soon spread to US...after arrival of new, ultra-infectious, deadly strain, CDC report warns. (17th May 2024). The Daily Mail.
https://www.dailymail.co.uk/health/article-13426901/new-infectious-deadly-monkey-pox-strain-outbreak-congo.html
The Democratic Republic of CONGO is Ground Zero for testing polio vaccines containing cancer enhancing SV40 (a monkey virus) on a large population, and also Ground Zero for HIV AIDS (a monkey virus), Monkey Pox (a monkey virus) and Disease X (TBA).
Polio, hepatitis B and AIDS: an integrative theory on a possible vaccine induced pandemic (2001).
https://pubmed.ncbi.nlm.nih.gov/11388787/
and
Polio vaccines and the origin of AIDS
https://pubmed.ncbi.nlm.nih.gov/7935079/
The River by Edward Hooper: A journey to the source of HIV and AIDS
“Examines the possible source of HIV, analyzing a number of theories concerning its origins and investigating current scientific inquiries into HIV, AIDS, and the search for a cure” (Good Reads)
https://archive.org/details/riverjourneytoso00hoop
and
The River: A Journey Back To The Source of HIV and AIDS by Edward Hooper (8th July 2000). The Irish Times.
Although containing 2,500 footnotes, The River is much more than a science-laden tome: It's a medical detective story which grips the reader right through its 888 pages. If Hooper is right, then we may have to add yet another legacy to colonialism: a plague that has killed 16 million Africans and lowered life expectancy across a continent.
https://www.irishtimes.com/news/the-river-a-journey-back-to-the-source-of-hiv-and-aids-by-edward-hooper-penguin-10-99-in-uk-1.290744
Lesson 19: OPV Theory (22nd January 2012).
"Why Us? Left Behind and Dying" is an in-depth examination of the reasons why HIV rates are so disproportionately high in black communities. The learning process focuses on uncovering the reasons why Africans and African-Americans are inordinately impacted by HIV and AIDS. The lessons help dispel common myths while making connections between the community you serve and social determinants of health. The complete curriculum and corresponding materials can be found on the website www.whyusmovie.com.
There was more to The HIV AIDS Show than The Covid-19 Show: spies, lies and politics.
Jaw Dropping Candace Owens Interview With USS Liberty Survivor Goes Viral, Truth Now Undeniable, But Not Many Caught The Significance Of The Name Mentioned As An Irgun Agent Who Cast Spells On LBJ, by Celia Farber (14th December 2024).
Mathilde Krim Was Not Only Behind The Israel Agenda After JFK But Also The Murderous Money Laundering Machine And Terror Organization AMFAR. I Reported In 1992 How Krim INVENTED "Heterosexual AIDS"
Serious Adverse Events: An Uncensored History of AIDS by Celia Farber (2023).
Telling the truth and shaming the Devil.
https://archive.org/details/seriousadverseev00farb
Pharmaceutical giants knowingly sold HIV-infected treatment to NHS. (4th May 2024).
Infected Blood Inquiry is to report on mistakes that led to 1,250 people in UK contracting HIV and 5,000 more contracting hepatitis C
https://www.telegraph.co.uk/news/2024/05/04/pharmaceutical-giants-sold-hiv-infected-treatment/
'Disease X' in the Congo, Hyper-Vaccination, and Replicon mRNA Injections (7th December 2025).
Nicolas Hulscher MPH
Disease X scheduled for 21st January 2025
Pharmaceutical giants knowingly sold HIV-infected treatment to NHS. (4th May 2024). Infected Blood Inquiry is to report on mistakes that led to 1,250 people in UK contracting HIV and 5,000 more contracting hepatitis C
https://www.telegraph.co.uk/news/2024/05/04/pharmaceutical-giants-sold-hiv-infected-treatment/
The Gentlemen Of The HIV Dissent Movement: Happy Birthday Charles Geshekter, by Celia Farber Celia Farber (15th March 2024)
One of the First to Challenge the HIV Narrative | Celia Farber
https://rumble.com/v6xvju2-one-of-the-first-to-challenge-the-hiv-narrative-celia-farber.html
John Coleman re AIDS creation (Read Description)
https://rumble.com/v6vrk57-john-coleman-re-aids-creation-read-description.html
🎈Autism
Vaccines Cause Autism. Why Hide It? (13th October 2025) Rima E Laibow MD
ABV = ANYTHING but the Vaccines.
CDC 2025 autism data (spoiler alert: it gets worse!) and review of autism video content (update#188) (5th September 2025) Merogenomics
Autism affects 1 in 31 U.S. kids today: new data released by CDC. Numbers & outcomes vary widely by region (California +, Texas -), race (mixed race has lower instance), and age, socio-economic groups, gender. Environmental and genetic (non hereditary) factors. Reversal can be achieved with diet.
Autism chart explained and the "inflection points" in 1996 (19th April 2025) Jessica Rose
For all of the questions from X...
RFK Jr. Says HHS Will Disclose Causes of Autism in September (26th August 2025) TET
During an Aug. 26 cabinet meeting, HHS Secretary Robert F. Kennedy Jr. vowed to fulfill his April promise that the causes of autism will be revealed next month.
https://www.theepochtimes.com/us/rfk-jr-says-hhs-will-disclose-causes-of-autism-in-september-5906558
The Hidden Tragedy of Neurological Vaccine Injuries (25th June 2025) A Midwestern Doctor
The subtle dangers of vaccinations must be considered when assessing if their risks and benefits justify mandating them
Tylenol Makers Concealed Its Role In Brain Inflammation (Autism) Cascade For 7 Years, According To Documents, Reports Health Activist Kari Bundy (27th September 2025) Celia Farber
🎈Statins
Challenging the Dietary Saturated Fat Heart Hypothesis
Cardiologist Dr. Peter McCullough Spars with Nutrition Scientist Dr Nina Teicholz (2nd October 2025) Peter A. McCullough, MD, MPH
FDA Issues Notice in Recall of More Than 140,000 Bottles of Common Statin Medication (16th October 2025) The Epoch Times
Several versions of generic atorvastatin calcium tablets are under recall, the agency says.
“Several versions of generic atorvastatin calcium tablets are under recall because of failed dissolution specifications, indicating the drug did not dissolve at the expected rate under FDA guidelines. This means that a patient may not be able to absorb the medication properly.”
🎈Mass Medication Without Consent
I have put a significant amount of material related to Fluoride in my child abuse post.
🎈The New Zealand government assured citizens that fluoride is ‘safe and effective’
While The Covid-19 Show was mass medication without informed consent. Actually they lied to get those injections into us. Fluoridating tap water is mass medication without any consent whatsoever.
The New Zealand government even made fluoridation of tap water The Law when there were studies that called fluoride a neurotoxin and linked fluoride to decreased IQ.
Nazi's used Sodium Fluoride.pdf
Nazis used sodium fluoride for behaviour control of populations. There are some references at the end of this 8 page document
https://archive.org/details/pdfy-TMv7Lm9Jz9NPzOKu/mode/2up
Perhaps it is in the best interests of our government to keep us intellectually dull?
PROOF! U.S. government CAUGHT poisoning American cities with Fluoride | Redacted (25th August 2024).
"The U.S. government is POISONING Americans with Fluoride" Michael Connett | Redacted (31st December 2024).
Fewer than 6% of the world are mass medicated with fluoride without informed consent and they all belong to Five Eyes.
Excess Fluoride Exposure Associated with Lower IQ in Children. (8th January 2025). Nicolas Hulscher, MPH
New landmark meta-analysis indicates the need to halt artificial water fluoridation using industrial byproducts.
Even though only 5.7% of the world are mass medicated with fluoride, a neurotoxin, this is not questioned, by those who consume it.
and
The Toxic Similarities Between Mandatory Vaccination and Water Fluoridation (23rd April 2024).
https://nzdsos.com/2024/04/23/toxic-similarities-vaccination-fluoridation/
and
Water Fluoridation Part 1: Understanding the Fluoride Controversy (11th August 2023). New Zealand Doctors Speaking Out with Science.
https://nzdsos.com/2023/08/11/water-fluoridation-health-controversy/
and
Water Fluoridation Part 2: Dirty Politics and the Implications for Population Health (11th August 2024). New Zealand Doctors Speaking Out with Science.
https://nzdsos.com/2023/08/11/water-fluoridation-implications/ via @nzdsos
and
FLUORIDE & IQ: 76 STUDIES (Fluoride Action Network).
• As of July 18, 2022, a total of 85 human studies have investigated the relationship between fluoride and human intelligence.
Of these investigations, 76 studies have reported that elevated fluoride exposure is associated with reduced IQ in humans.
The studies which reported an association of reduced IQ with exposure to fluoride, are based on IQ/cognitive examinations of 28,234 children (73 studies) and 689 adults (3 studies).
The Mother-Offspring fluoride studies provide compelling evidence that fluoride exposure during the prenatal and postnatal of life can damage a child’s developing brain.
https://fluoridealert.org/studies/brain01/
and
Fluoridation is mass medication, NZ Supreme Court rules. (28 June 2018).
https://www.scoop.co.nz/stories/PO1806/S00336/fluoridation-is-mass-medication-nz-supreme-court-rules.htm?fbclid=IwAR1rc_S5XVQD9hypa-lffrMTAX46X-7ipUiZ0lxXIO7_E3_WEGDe1svHJFQ
and
Government opts for fluoridation of drinking water NZ. (22nd November 2021).
“Now the New Zealand government has also decided to enrich the drinking water of New Zealanders with fluoride by law.” Law.
https://www.aquaworks.co.nz/fluoridation-drinking-water-it-is-your-decision/?fbclid=IwAR0K85tFt6WPEwdh2YleLEE4W_Xl7eCMp4lPe1pFu0NS9ttSAL_GrAGpUHc#:~:text=Now%20the%20New%20Zealand%20government,combat%20tooth%20decay%20more%20effectively
and
Hang on! The U.S. government is POISONING American cities with Fluoride? | Redacted (21st February 2024).
“Is fluoride in the water bad for you? The government knows it is and has been forced to admit it in a landmark lawsuit in California. Journalist Derrick Broze has been following this acutely. He fills us in on why this case has been left out of the mainstream media and what we have learned from it. He also proves that the government has censored this knowledge and that the World Economic Forum is pushing fluoride, despite this damning evidence!”
🎈 Mind Control: It is not what you think
Mosquitos Harnessed to Vaccinate Humans without Consent. (9th January 2025). Peter A. McCullough, MD, New England Journal of Medicine Report of Malaria Vaccine:
with
Lamers et al November 2024: https://www.nejm.org/doi/full/10.1056/NEJMoa2313892
and
https://rumble.com/v67ja31-dr.-peter-mccullough-mosquitos-harnessed-to-vaccinate-humans-without-consen.html
Australia To Forcibly Vaccinate Citizens Via Chemtrails (13th July 2022).
The Office of the Gene Technology Regulator (OGTR) says that the vaccine qualifies as a limited and controlled release under section 50A of the Gene Technology Act 2000.
https://principia-scientific.com/australia-to-forcibly-vaccinate-citizens-via-chemtrails/
🎈The History of Biological Warfare Continued
Breaking: FDA Knowingly Authorized Deadly Bioweapons MPOX Research on 100,000 US Military Personnel | "It was all ILLEGAL!" - Barron Trump Calls for Fauci to Go to Prison
https://rumble.com/v6dwp9g-breaking-fda-knowingly-authorized-deadly-bioweapons-mpox-research-on-100000.html
Homeless people die after bird flu vaccine trial in Poland (2nd July 2008).
Three Polish doctors and six nurses are facing criminal prosecution after a number of homeless people died following medical trials for a vaccine to the H5N1 bird-flu virus.
https://www.telegraph.co.uk/news/worldnews/europe/poland/2235676/Homeless-people-die-after-bird-flu-vaccine-trial-in-Poland.html
Joseph Moshe (MOSSAD Microbiologist): "Swine flu vaccine is bioweapon" (21st August 2009).
https://www.sott.net/article/197754-Joseph-Moshe-MOSSAD-Microbiologist-Swine-flu-vaccine-is-bioweapon?ysclid=lluq63sv7z28538493
The Untold Stories About Smallpox Vaccines. (19th December 2023). Epoch Times.
https://www.theepochtimes.com/health/the-untold-stories-about-smallpox-vaccines-5538258
Experimentation with Human Beings: The Authority of the Investigator, Subject, Professions, and State in the Human Experimentation Process (1972) by Jay Katz, Alexander Morgan Capron and Eleanor Swift Glass
https://archive.org/details/experimentationw0000katz/page/n7/mode/2up
and
https://www.researchgate.net/publication/6664677_Experimentation_with_human_beings_light_or_only_shadows
Autism Pre-Conditioning & Normalization: Production Begins on Film 'Rain Man' in 1986, Same Year Congress Grants Immunity Shield to Vaccine Architects. (19th April 2025) Laura Kasner and TriTorch
Pre-Programming on Shakespeare's World Stage: We've been played for fools while our children have been cast by .gov to pharmaceutical wolves who knew from the start exactly what they were doing.
From 2008: Sharyl Attkisson Exposes How Top Vaccine Advocates Receive Funding From Big Pharma
https://rumble.com/v6sff4h-from-2008-sharyl-attkisson-exposes-how-top-vaccine-advocates-receive-fundin.html
The Horrors of Vaccination 1920
TV3 Documentary "Let Us Spray" -- Censored from New Zealand Television. (9th April 2013). Mass poisoning of New Zealander's was an inside job by the government, or they wouldn't have censored this segment.
Farmers tackle pests with colas (3rd November 2004). BBC.
What is in the Cola’s and Pepsi’s?
http://news.bbc.co.uk/2/hi/south_asia/3977351.stm#:~:text=It%20is%20a%20trend%20that,increased%20drastically%20in%20remote%20villages.
Chilling Truth Exposed: RFK Jr. Proves Fauci Lied About Vaccine Safety Testing
Having been called a liar by Anthony Fauci for saying that "not one of the 72 vaccines mandated for children has ever been safety tested", RFK Jr. sued Fauci.
After a year of stonewalling, Fauci's lawyers admitted that RFK Jr. had been right all along.
"There's no downstream liability, there's no front-end safety testing... and there's no marketing and advertising costs, because the federal government is ordering 78 million school kids to take that vaccine every year."
"What better product could you have? And so there was a gold rush to add all these new vaccines to the schedule... because if you get onto that schedule, it's a billion dollars a year for your company."
"So we got all of these new vaccines, 72 shots, 16 vaccines... And that year, 1989, we saw an explosion in chronic disease in American children... ADHD, sleep disorders, language delays, ASD, autism, Tourette's syndrome, ticks, narcolepsy."
"Autism went from one in 10,000 in my generation... to one in every 34 kids today."
https://rumble.com/v5oi1rk-chilling-truth-exposed-rfk-jr.-proves-fauci-lied-about-vaccine-safety-testi.html
Mandatory Vaccines & Public Health: The Role of Vaccine Safety
Robert F Kennedy Jr in 2019.
Measles illness is protective for a range of fatal disorders. So why vaccinate against measles? The vaccination does more harm than good.
https://rumble.com/v68cxgv-mandatory-vaccines-and-public-health-the-role-of-vaccine-safety.html
Child Victims of Anthony Fauci | Robert F Kennedy
https://rumble.com/v62wrdz-child-victims-of-anthony-fauci-robert-f-kennedy.html
Strong Evidence Suggests Laboratory Origin of the Current H5N1 Bird Flu Outbreak (9th January 2025). Nicolas Hulscher, MPH
Epidemiologist Nicolas Hulscher on the Healthy & Awake Podcast
A LOT of evidence within:
and
https://rumble.com/v679isd-evidence-of-bird-flu-outbreaks-as-biowarfare-events-epidemiologist-nicolas-.html
Precedence: Injuries and Deaths Associated With the Very First Vaccines. (23rd January 2024). Part 3.
"As evidenced by substantial safety and quality issues, the narrative of the smallpox vaccine as a medical triumph has unfortunately been contrived."
https://www.theepochtimes.com/health/injuries-and-deaths-associated-with-the-very-first-vaccines-5541947
The Dark Side of Antidepressants (25th January 2025). A Midwestern Doctor.
Known side effects are psychotic violence and suicide.
The eugenics agenda of pharmaceutical companies are known.
This is DEVASTATING Vaccine News for Big Pharma | Redacted (16th February 2025).
Professor Joseph Varon: Merk knew their HPV vaccine was dangerous (infected with DNA) and kept selling it. That is malice.
An extract from Bill Coopers Behold A Pale Horse. (1991).
Cooper was a Naval intelligence briefing team member, USA. His 'predictions' are uncannily accurate, even 9/11. Covid-19.
https://archive.org/stream/BeholdAPaleHorse_267/BillCooper-BeholdAPaleHorse.txt
and
For interest: My William Cooper playlist: https://www.youtube.com/playlist?list=PLOeJfuiUvt1i8phC3_nzjyzOSJfN9JiZ5
Dr. Bill Deagle a Decade Foretelling of the New World Order via Biopharmaceutical Enslavement.
https://rumble.com/v1pbywo-dr.-bill-deagle-a-decade-foretelling-of-the-new-world-order-via-biopharmace.html
Dark Historical Roots Of Smallpox And Inoculation Brew, Rebranded as "Vaccines:" Blood, Pus, Chemicals, Multiple Animals, Even Cadaver Particles, by Celia Farber
Dr. Suzanne Humphries: From Smallpox To Covid: 226 Years Of Deception!
"Witches Brew"
Cancer promoting SV40 present in other injections apart from Covid-19
https://rumble.com/v6rb3w2-dr.-suzanne-humphries-from-smallpox-to-covid-226-years-of-deception.html
and
Dissolving Illusions: Disease, Vaccines, and The Forgotten History (2013) by Suzanne Humphries MD and Roman Bystrianyk
Replicated RNA vaccine to cause global sickness and mass death, Baxter Pharmaceuticals, Ukraine bioweapon laboratories:
Flashback Joseph Moshe (MOSSAD Microbiologist): "Swine flu vaccine is bioweapon" (21st August 2009)
https://www.sott.net/article/197754-Joseph-Moshe-MOSSAD-Microbiologist-Swine-flu-vaccine-is-bioweapon
and
Joseph Moshe (MOSSAD Microbiologist) H1N1 Swine flu vaccine is bioweapon (28th October 2012)
Weapon manufactured by Baxter in Ukraine
* A lot of links in the description of the video.
Joseph Moshe was violently arrested on Thursday, August 13, 2009
Vaccine Nation 2008 Documentary (1 and a half hours)
"In the United States, the number of mandatory vaccine injections has risen to 36 per child. Each of these injections contains neurotoxins such as aluminum, formaldehyde, aborted fetal tissue, animal by-products, heavy metals, and many others. What happens to a child’s fragile immune system when it’s overloaded with these toxins? From the award-winning director of The Drugging of our Children, Gulf War Syndrome: Killing Our Own and AIDS Inc. – comes the latest film of critical social importance: Vaccine Nation.
For most people, vaccinating themselves and their children seems like a good idea. Vaccines are safe, effective and are supposed to protect us against dangerous infectious diseases – left? Wrong!
What you don’t know can harm you or kill you! In this groundbreaking film, you will: See the truth about the dangers of vaccines and their direct relationship to autoimmune diseases, infections, allergies and a massive increase of developmental learning and behavioral disorders in children, such as Autism. Discover the truth about the history of vaccines and how they have NEVER been proven to be safe and effective for anyone. Witness the legacy of governmental deception and cover-ups associated with vaccines.
Learn about the corruption within the scientific community and how vaccine studies are seriously flawed. You’ll also follow heart-wrenching, real life stories of the parents and children devastated by the effects of vaccines. Join director Gary Null PhD and over 40 of the worlds foremost vaccine experts in this shocking expose’ that will shatter the truth as you know it."
https://rumble.com/v6sbyvj-vaccine-nation-2008-documentary.html
Lethal Injection: The Story of Vaccination (Documentary) (2 and a half hours)
https://rumble.com/v6scpdr-lethal-injection-the-story-of-vaccination-documentary.html
Fauci & Gates Have Been Involved In 'Really Terrible, Immoral, Homicidal, Criminal Behavior'!
https://rumble.com/v6rhuzj-fauci-and-gates-have-been-involved-in-really-terrible-immoral-homicidal-cri.html
Longstanding History Of Big Pharma Crimes. "Deadly Medicines And Organized Crime" By Dr. Peter Goetzsche Is A Must Read (27th August 2024). Dr Ana Mihalcea.
Prescription for Profit: The FDA’s Alarming Record of Lethal Drugs on the Market (11th November 2024). Health Uncensored.
SHOCKING new Epstein papers reveal CREEPY targeting of children for medical experiments | Redacted (14th May 2023)
“Whitney Webb is back to discuss new revelations in the Jeffrey Epstein revelations. She says that after being busted for trafficking in 2007, Epstein focused on recruiting teens to his company in the U.S. Virgin Islands. He recruited the islander teens using the same tactics he had employed to entrap underage girls in Palm Beach and beyond. The goal of this company, Southern Trust, and Epstein's other efforts at that time, reveal how Epstein's interest in transhumanism and minors disturbingly coalesce.”
Epstein was funded by Rothschild for this research that was particularly focussed on under privileged children with developmental delay. Whitney Webb focussed on the potential for sexual exploitation but I guess something else nefarious was going on, as well.
🎈Interesting Factoids
Further Sequencing of Pfizer lots FL8095, EW0164, EW0173 (26th December 2025) Anandamide
Dr Okker and Elizabeth Connell- Bar of LiveBloodOnline.com on Mind Matters and Everything Else with Dr. Joseph Sansone, EP 89 (4th October 2025) Dr Joseph Sansone.
Dr. Okker Botha and Elizabeth Connell discuss the Neogenesis Dark Field Microscopy System and how typical light field microscopes are different.
LiveBloodOnline.com
Discussion of the work of Dr. Ana Mihalcea etc using Dark Field Microscopy.
Dr. Joseph Ladapo Breaks Down Decision to Remove All Vaccine Mandates in Florida (4th October 2025) American Thought Leaders (The Epoch Times)
40 minutes
Florida’s Surgeon General Dr. Joseph Ladapo.
https://rumble.com/v6zv5ys-dr.-ladapo-breaks-down-his-florida-vaccine-decision.html
IN THE BOX: Excerpt MAHA FDA Chief FLIPS On Covid Shots! w/ Catherine Austin Fitts
Clip from The Jimmy Dore Show (8 minutes)
https://rumble.com/v6t9q0r-in-the-box-maha-fda-chief-flips-on-covid-shots-w-catherine-austin-fitts.html
CDC Says Millions of Americans Infected with Parasites (3rd May 2025). Peter A. McCullough, MD, MPH
Infections Can Go Unnoticed
354. ANNAS ARCHIVE HAS EVERY E-BOOK AVAILABLE FREE. (16th April 2025) Robert Yoho, MD
“It is the largest truly open library in human history. Since I am a bookworm, it is precious to me.”
Predictix: DNA, AI, and the Zionist Infiltration of UK Mental Health. (17th April 2025) vanessa beeley
My report yesterday for UK Column News covers the Israeli influence over mental health in the UK - DNA-mining and fast-track drug prescription
Trace Amounts: Documentary (1 hour 30 minutes)
"A documentary on the issue of mercury, one of the most toxic metals on earth, which is used as a preservative in vaccines (and other medications)."
https://rumble.com/v6sbtcp-trace-amounts-documentary.html
Fully Outsourced Generic Drug Supply--Now A National Security Risk (21st April 2025) Peter A. McCullough, MD, MPH
Dr. McCullough on Real America's Voice BOLLING!
The FDA's War On America's Health. (18th April 2025) A Midwestern Doctor
Why do so many innovative therapies never see the light of day
Next outbreak will be of a disease that has a significant degree of morbidity - Anthony Fauci
https://rumble.com/v6rqwjf-next-outbreak-will-be-of-a-disease-that-has-a-significant-degree-of-morbidi.html
Rep. Marjorie Taylor Greene - COVID vaccines were approved in days instead of years.
https://rumble.com/v6ryv6d-rep.-marjorie-taylor-greene-covid-vaccines-were-approved-in-days-instead-of.html
Former FEMA operative Celeste Solum talks with David Icke: ‘The Covid tests are magnetically tagging you and the vaccine is designed for mass depopulation and the synthetic transformation of the human body’ (20th November 2020)
https://davidicke.com/2020/11/20/former-fema-operative-celeste-solum-talks-with-david-icke-the-covid-tests-are-magnetically-tagging-you-and-the-vaccine-is-designed-for-mass-depopulation-and-the-synthetic-transformation-of-the-huma/
and
THE MOTHER OF ALL FALSE FLAG EVENTS (17th April 2022) Frances Leader
Holding the world to ransom
Big Pharma Business Model Explained by Cardiologist Aseem Malhotra
Dr. Aseem Malhotra has highlighted how the Numbers Needed to Treat (NNT) exposes the drug industry’s misuse of statistics to exaggerate benefits, manipulate doctors, and mislead patients.
https://rumble.com/v6rsleb-big-pharma-business-model-explained-by-cardiologist-aseem-malhotra.html
What Would Happen if RFK Jr. Announced the Recall of the 'Deadliest Vaccines Ever Made'? (9th April 2025) Karen Kingston
I guess it depends who RFK Jr works for.
https://www.virustruth.net/
BREAKING - Minnesota Files Bill HF 3152 to Ban mRNA Injections (8th April 2025) Nicolas Hulscher, MPH
Minnesota becomes 11th U.S. state with legislative efforts to ban mRNA shots.
The Shocking Truth About Pregnancy’s Most Common Procedure (6th April 2025) The Vigilant Fox
Just like with vaccines, early critics of prenatal ultrasound were silenced.
https://www.vigilantfox.com/p/the-shocking-truth-about-pregnancys
Ultrasounds cause a dose-dependent injury to developing fetal tissues
And
Pharmaceuticals: What’s in them?
By Baldmichael Theresoluteprotector’sson
https://alphaandomegacloud.wordpress.com/2023/03/04/pharmaceuticals-whats-in-them/
Christine Grady, Wife Of Dr. Anthony Fauci, Among Many Fired From NIH In Massive Purge--NYT (3rd April 2025) Celia Farber.
Grady wrote "Yikes" when Fauci told her 23 had died in Norway from the Covid-19 injections then later "you have been immortalised"
JAMA Hit Piece Signals Full-Blown Panic Over Vaccine-Autism Investigation (11th April 2025) Nicolas Hulscher, MPH
Vanderbilt doctors smear newly appointed David Geier and scramble to bury the vaccine-autism link as Vaccine Ideology crumbles.
Survey Confirms a Mass Awakening to the Deadly COVID-19 mRNA Shots (1st April 2025) Karen Kingston
A significant percentage of Americans are certain that the mRNA injections are not only unsafe, but deadly.
Critical Appraisal of Multidrug Therapy in the Ambulatory Management of Patients with COVID-19 and Hypoxemia (2 parts)
https://www.researchgate.net/publication/390172427_Critical_appraisal_of_multidrug_therapy_in_the_ambulatory_management_of_patients_with_COVID-19_and_hypoxemia_Part_II_Causal_inference_using_the_Bradford_Hill_criteria
McDowell's triplets "shut down" after routine injections: later diagnosed with Autism.
https://rumble.com/v6riho3-mcdowells-triplets-shut-down-after-routine-injections-later-diagnosed-with-.html
Japans Professor Masanori Explains the Absence of mRNA Safety and Regulation
https://rumble.com/v6qy2nw-professor-masanori-explains-the-absence-of-mrna-safety-and-regulation.html
BMJ rebuked over coverage of US gov COVID report that revealed we were right about nearly everything (13th March 2025) Raphael Lataster (BPharm, PhD)
https://oversight.house.gov/release/final-report-covid-select-concludes-2-year-investigation-issues-500-page-final-report-on-lessons-learned-and-the-path-forward/
Genomics & Frequencies 110: Fungus Among US & In US (12th March 2025) Brandon Iglesias, Chem.E
Fungal strains with no viable treatment via anti-fungal. A lot of these strains are weaponized by China CCP PLA in times of unrestricted smart bioweapon warfare.
Joe Rogan Guest Completely Shatters the Vaccine Narrative (27th March 2025) The Vigilant Fox
Dr. Suzanne Humphries reveals what really made all those polio cases disappear after the vaccine was introduced.
Radio Host Roasts NZ Doctor Sir Ashley Bloomfield | Michael Laws
Doctor Sir Ashley's regime refuses to acknowledge harm from the mandated Covid-19 injections that he bankrupted, harmed, impoverished, killed and bereaved with his globalist ideology.
https://rumble.com/v6ragw0-radio-host-roasts-nz-doctor-sir-ashley-bloomfield-michael-laws.html
Carnicom Institute - 2016 Research Papers (21st March 2025). Carnicom Institute
Morgellons, geoengineering.
Florida takes a stand: DeSantis proposes permanent ban on mRNA vaccine mandates (6th March 2025) by Willow Tohi
https://vaccines.news/2025-03-06-desantis-proposes-permanent-ban-mrna-vaccine-mandates.html
60 Minutes exposé on Gardasil. Which now seems to have been removed from Youtube...
https://rumble.com/v6qfz7q-60-minutes-expos-on-gardasil.-which-now-seems-to-have-been-removed-from-you.html
New Drug Delivery Systems: From BioNTech patent (4th March 2025). Patent SUN
BioNTech proposes complexes containing cationic and/or ionizable oligosaccharides.
Vaccinated Children Are Counted as 'Unvaccinated' in Texas Measles Outbreak (4th March 2025). Karen Kingston
“A dose of MMR is given to unvaccinated people within 72 hours of their exposure to the measles"- Texas Health Services.
RFK Jr. Holds His Ground: CDC Will Scrutinize Childhood Vaccines (8th March 2025). Karen Kingston
Insiders say the CDC is charging forward with a study to analyze the link between childhood vaccines and autism, placing the childhood vaccine schedule under scrutiny.
BREAKING - RFK Jr. and Federal Health Agencies Wisely Oppose Mass H5N1 Animal Vaccination Over Mutation Concerns (8th March 2025). Nicolas Hulscher, MPH
Ukraine was among recipients of WHO No-Fault Covid-19 Jab Compensation (5th March 2025). GeoffPainPhD
Australia donated to this scheme but Australians are not eligible for compensation for even catastrophic injuries from Covid-19 injections.
mRNA Products in the Development Pipeline (7th March 2025) James Roguski
Trillions of dollars are being invested in developing hundreds of mRNA "vaccines" and other mRNA-based "therapies." Our society has reached "Peak Insanity."
FREEDOM RESEARCH PODCAST #20. Epidemiologist Nicolas Hulscher: Medical Regulatory Agencies Are Corrupted by Big Pharma (7th March 2025) Hannes Sarv
“They are not looking at the data."
Psinergy Rumble channel
https://rumble.com/user/Psinergy
nonvaxer420 Rumble channel
https://rumble.com/user/nonvaxer420
The Tam emails... (23rd February 2025). Jessica Rose
An email addressing "vaccine hesitancy" on 10th December 2019???
NEW STUDY - Circulating Spike Protein Detectable 709 Days after COVID-19 mRNA Injection (20th February 2025). Nicolas Hulscher, MPH
Link: https://www.medrxiv.org/content/10.1101/2025.02.18.25322379v1
Now COVID Leaders ADMIT They Didn’t Follow The Science! (21st February 2025). The Jimmy Dore Show.
Deborah Birx, the former White House COVID response coordinator under both Trump and Biden, revealed that health officials did not “follow the science”
Wastewater measurements indicate highly vaccinated states had no benefit. Rachel Maddow was wrong. (9th February 2025). Steve Kirsch
There is a reason health officials never show you how your data compares with the country as a whole.
"Too Many Vested Interests to Stop This Now" | said to Professor Angus Dalgleish
https://rumble.com/v6kwvl1-too-many-vested-interests-to-stop-this-now-professor-angus-dalgleish.html
Microbubbles Are Microrobots That Build Microchips - Correlation with COVID19 Microscopy Findings (17th October 2024). Ana Maria Mihalcea, MD, PhD
and
2022 study: https://www.mdpi.com/2072-666X/13/7/1068
Louisiana to End Mass Vaccine Promotion, Surgeon General Announces (14th February 2025).
The state’s surgeon general said he believes some of the ‘greatest missteps’ during COVID-19 were on vaccines.
https://www.theepochtimes.com/article/louisiana-to-end-mass-vaccine-promotion-state-official-confirms-5810173
My argument that the COVID vaccines had NO benefit (11th February 2025). Steve Kirsch
Is it bulletproof? If both R0 and IFR increased due to the shots, there was no benefit.
Faustian bargain our medical doctors made in betraying us during fraud COVID & deadly mRNA vaccine! They sold us, placed us at risk of death for money, our criminal medical doctors, today trust NONE! (13th February 2025). Dr. Paul Alexander
Our Human Potential And The Power Of Our Mind (9th February 2025). Ana Maria Mihalcea, MD, PhD
EXCLUSIVE: Pfizer Employees Donated To Elizabeth Warren 165 Times. (8th February 2025).
https://loomered.com/2025/02/08/exclusive-pfizer-employees-donated-to-elizabeth-warren-165-times/
The Rise and Rise of Robert F. Kennedy Jr. (5th February 2025). The Epoch Times.
"In November 2021, a major book blasted onto the scene that hardly anyone had expected. It was “The Real Anthony Fauci” by Kennedy. The author had already emerged as the world’s leading critic of the policy response to COVID-19, which included locking down societies across the globe to prepare the population for a vaccine that was already on record as failing to protect against both infection and transmission. ...
Fauci was not merely the guy telling you how to stay well; he had become a powerful figure in the bioweapons industry, which had a deep relationship with pharmaceutical companies." ...
https://www.theepochtimes.com/opinion/the-rise-and-rise-of-robert-f-kennedy-jr-5804604
Carnicom Institute Laboratory for research into biological warfare. National ARM has purchased the intellectual property rights of this valuable research into geoengineering and bioengineering. Please feel free to download and distribute all materials.
https://library.carnicominstitute.org/
Bill Gates is funding research to use mosquitoes as “flying vaccinators” (3rd January 2025).
https://expose-news.com/2025/01/03/bill-gates-is-funding-flying-vaccinators/
and
Flying Vaccinators are Very Real... Bill Gates's Mosquito Army Exposed
Dr. Peter McCullough and Grant Stinchfield
https://rumble.com/v64jqw4-flying-vaccinators-are-very-real...-bill-gatess-mosquito-army-exposed.html
The Coca-Cola Company and Microsoft announce five-year strategic partnership to accelerate cloud and generative AI initiatives (23rd April 2024).
(Secret ingredient in Cola isn't cocaine, the wetware is nanotechnolgy: Brandon Iglesias, Chem.E.)
https://news.microsoft.com/2024/04/23/the-coca-cola-company-and-microsoft-announce-five-year-strategic-partnership-to-accelerate-cloud-and-generative-ai-initiatives/
The Government of Alberta's Report on Their Investigation Into the COVID-19 Pandemic Response (25th January 25). Dr. Byram W. Bridle
the report: https://open.alberta.ca/publications/albertas-covid-19-pandemic-response
mRNA Vaccines Aren't Used in Russia, China, and India: A Closer Look at the Reasons (6th January 2025). Dr Lidiya Angelova
Could it be that this information is being withheld because it might expose mRNA shots as 'kill shots'?
Negative efficacy (15th January 2025). Dr John Campbell.
Behavioral and Health Outcomes of mRNA COVID-19 Vaccination: A Case-Control Study in Japanese Small and Medium-Sized Enterprises Published: December 13, 2024
https://www.cureus.com/articles/313843-behavioral-and-health-outcomes-of-mrna-covid-19-vaccination-a-case-control-study-in-japanese-small-and-medium-sized-enterprises
https://x.com/thehealthb0t/status/1880098140336042153
What Have I Done? (16th January 2025). The Nobody Who Knows EveryBody
"Technology Shines a Torch on the Uncontrolled Biodistribution of mRNA. New Peer reviewed study confirms an uncontrolled Biodistribution of mRNA & its body wide production of the pathogenic proteins."
Host GRILLS Pzizer CEO Over Vaccine Efficacy. (17th January 2025). Russell Brand.
Ugur Sahin is the CEO of BioNTech, the Pfizer BioNTech mRNA vaccine company & here he tells us why he did not take the mRNA vaccine, moreover, he is saying that it's about priority & you don't give a vaccine to groups NOT included in the clinical trial. (16th January 2025). Dr Paul Alexander.
I have read very interesting articles from The Epoch Times with an inexpensive subscription, about Covid-19 and Covid-Shots with links to published peer-reviewed papers that you would not read about in the Mainstream Media. Where possible I have plucked the links to the referenced academic articles and put them separately, below the Epoch Times reference, because not everyone can afford a subscription, but we need everyone working on this, to save and protect lives.
I know Wikipedia describes the Epoch Times as being ‘Far Right’, but if ‘Far Right’ means telling or knowing the truth, unlike the mercenary Big Pharma shills then I am hardly going to be deterred. Nice try.
https://www.theepochtimes.com/health/covid is a good page to start.
Top 10 COVID Events of the Year: Revealing the Facts Unspoken and Unknown.
(27th December 2023). Links to many different files and documents, essential reading in full.
https://www.theepochtimes.com/health/top-covid-events-of-the-year-reveal-facts-unspoken-and-unknown-5551693
First COVID Deaths Were Fully Jabbed, Australian State Records Reveal. (27th August 2023). Epoch Times.
https://www.theepochtimes.com/world/first-covid-deaths-were-fully-jabbed-australian-state-records-reveal-5480523
COVID-19 Vaccine Benefit Claims Are ‘Without Basis or Merit’: Research Group. (12th January 2023).
Links to evidence within this article.
https://www.theepochtimes.com/health/claims-covid-19-vaccines-are-beneficial-are-without-basis-or-merit-research-group-5538803
Moderna Secretly Polices COVID ‘Vaccine Misinformation’ to Control Narrative: Investigative Report. (1st December 2023).
A lot of resources are poured into the authorised narrative. That should tell you something.
https://www.theepochtimes.com/health/moderna-secretly-polices-covid-vaccine-misinformation-to-control-narrative-investigative-report-5538977
Faith Immune to Facts (15th December 2023).
“Nobel laureates express worldview vaccinated from reality.”
https://www.theepochtimes.com/health/faith-immune-to-facts-5545080
Brazil to Mandate COVID-19 Shots for Children as Young as 6 Months. (15th December 2023).
This is not a medical decision, it is purely political.
https://www.theepochtimes.com/opinion/brazil-to-mandate-covid-19-shots-for-children-as-young-as-6-months-5546834
and
A comprehensive study conducted by King’s College London scientists has concluded that the overall risk of children becoming severely ill or dying of COVID-19 is “extremely low.”
https://www.thelancet.com/journals/lanchi/article/PIIS2352-4642(21)00198-X/fulltext
Statin Drugs Laid the Groundwork for COVID-19 (13th May 2024). Hypothesis with lots of references. By Colleen Huber NMD.
https://www.theepochtimes.com/health/statin-drugs-laid-the-groundwork-for-covid-19-post-5639933
The Wuhan Cover-Up: Review of Bobby Kennedy’s Crucial Book. (4th January 2024).
"There is a cabal that took the concept of biological warfare 30 years ago and ran with it ..."
https://www.theepochtimes.com/opinion/the-wuhan-cover-up-review-of-bobby-kennedys-crucial-book-5556385
and
continued …
… “the economic motives behind gain-of-function research
successfully engineered “chimeric viruses” that can infect and kill humans
the coordinated effort to silence speculation of COVID-19’s laboratory genesis
the complicity of scientific journals to hide the origins of COVID-19
the role of the Wuhan Institute of Virology in China’s biowarfare/biodefense program
the relationships between US health, military, and intelligence bureaucracies and scientists and their Chinese counterparts
the roles of Bill Gates and Sir Jeremy Farrar in orchestrating a global cover-up
The Wuhan Cover-Upunveils a global conspiracy of epic proportion and lethal consequence.
Disease Itself Won’t Be the Real ‘Weapon’ in Next Pandemic: Dr. Richard Urso. (20th January 2024). Video.
https://www.theepochtimes.com/epochtv/disease-itself-wont-be-the-real-weapon-in-next-pandemic-dr-richard-urso-5570015
Higher-Than-Normal UK Death Rate Raises Questions. (2nd February 2024).
Includes links to available data and studies.
https://www.theepochtimes.com/health/recent-higher-than-normal-death-rate-in-uk-raises-doubt-on-efficacy-of-covid-19-vaccines-5556363
and
Comparative effectiveness of two- and three-dose COVID-19 vaccination schedules involving AZD1222 and BNT162b2 in people with kidney disease: a linked OpenSAFELY and UK Renal Registry cohort study. July 2023.
https://www.sciencedirect.com/science/article/pii/S2666776223000558?via=ihub%23appsec1
and
Severe COVID-19 outcomes after full vaccination of primary schedule and initial boosters: pooled analysis of national prospective cohort studies of 30 million individuals in England, Northern Ireland, Scotland, and Wales. (15th October 2022).
https://www.thelancet.com/journals/lancet/article/PIIS0140-6736(22)01656-7/fulltext
COVID Variants Resist Antibodies From 2nd, 3rd COVID-19 mRNA Vaccines. (8th February 2024).
Neutralizing antibodies induced by the vaccines rapidly decline, but the third dose of the vaccine may improve antibody resistance.
Incl study
https://www.theepochtimes.com/health/covid-variants-resist-antibodies-from-2nd-and-3rd-covid-19-mrna-vaccines-5578480
and
Dynamics of Serum-Neutralizing Antibody Responses in Vaccinees through Multiple Doses of the BNT162b2 Vaccine. (15th November 2023).
https://www.mdpi.com/2076-393X/11/11/1720
Updated COVID Vaccines Don’t Add Protection for Vaccinated With History of Infection: Study. (3rd February 2024).
"Japanese study finds updated vaccines only work for people who weren’t infected before."
https://www.theepochtimes.com/health/updated-covid-vaccines-dont-add-protection-for-already-vaccinated-and-infected-study-5579122
and
Bivalent mRNA vaccine effectiveness against COVID-19 among older adults in Japan: a test-negative study from the VENUS study (2024).
https://bmcinfectdis.biomedcentral.com/articles/10.1186/s12879-024-09035-3
and
Effectiveness of Bivalent mRNA Booster Vaccine Against COVID-19 in Korea. (26th January 2024).
https://jkms.org/DOIx.php?id=10.3346/jkms.2024.39.e15
and
Effectiveness of the adapted bivalent mRNA COVID-19 vaccines against hospitalisation in individuals aged ≥ 60 years during the Omicron XBB lineage-predominant period: VEBIS SARI VE network, Europe, February to August, 2023
https://www.eurosurveillance.org/content/10.2807/1560-7917.ES.2024.29.3.2300708
Moderna Scientists Warn mRNA Vaccines Carry Toxicity Risks. (4th February 2024).
https://www.theepochtimes.com/health/moderna-scientists-warn-mrna-vaccines-carry-toxicity-risks-5579218
Moderna Scientists Expose Origin of Toxicity Within Vaccine | Facts Matter. (8th February 2024).
Nanoparticals etc
https://www.theepochtimes.com/epochtv/moderna-scientists-identify-lipid-nanoparticles-as-most-likely-cause-for-heart-inflammation-in-vaccinated-facts-matter-5583592
Real Driving Forces Behind the COVID Waves? (13th February 2024).
https://www.theepochtimes.com/health/real-driving-forces-behind-the-covid-waves-5573822
Pfizer and Moderna COVID Vaccines’ Efficacy Exaggerated, Effectiveness ‘Well Below’ 50 Percent, Researchers Say (28th February 2024).
A key problem with the clinical trial is that the definition of vaccinated and unvaccinated is unclear, the paper says.
https://www.theepochtimes.com/health/pfizer-and-moderna-covid-vaccines-efficacy-exaggerated-effectiveness-well-below-50-percent-researchers-say-5595590
and
How the case counting window affected vaccine efficacy calculations in randomized trials of COVID-19 vaccines. (15th July 2023).
https://onlinelibrary.wiley.com/doi/10.1111/jep.13900
and
Sources of bias in observational studies of covid-19 vaccine effectiveness. (26th March 2023).
https://onlinelibrary.wiley.com/doi/10.1111/jep.13839
and
Vaccines and Related Biological Products Advisory Committee Meeting (10th December 2020) FDA Briefing Document Pfizer-BioNTech COVID-19 Vaccine
www.fda.gov/media/144245/download
and
Safety and Efficacy of the BNT162b2 mRNA Covid-19 Vaccine through 6 Months. (4th November 2021).
https://www.nejm.org/doi/full/10.1056/nejmoa2110345
Study Finds Majority of Patients With Long COVID Were Vaccinated. (28th February 2024).
Mass vaccination and available antiviral treatments have not prevented vaccinated individuals from experiencing lingering COVID-19 symptoms.
https://www.theepochtimes.com/health/study-finds-majority-of-patients-with-long-covid-were-vaccinated-5596736?
IN-DEPTH: The COVID-19 Vaccine Victims Demanding Compensation Reform (13th March 2024).
63 cases against AstraZeneca will be heard at the High Court from May but support groups say ’thousands’ of people are shut out from claiming damages.
https://www.theepochtimes.com/world/in-depth-the-covid-19-vaccine-victims-demanding-compensation-reform-5593437?
A clinical trial published in February, which involved 1,821 mild to moderate COVID-19 patients, indicated that a drug called ensitrelvir significantly shortened the duration of symptoms in patients with COVID-19.
https://jamanetwork.com/journals/jamanetworkopen/fullarticle/2814871
and
A study in Argentina involving 400 hospital workers indicated that a nasal spray containing iota-carrageenan could reduce the risk of contracting COVID-19 by around 80 percent.
https://www.dovepress.com/efficacy-of-a-nasal-spray-containing-iota-carrageenan-in-the-postexpos-peer-reviewed-fulltext-article-IJGM 10 pages
and
A clinical trial published in the journal Nutrients in 2022 found that curcumin supplementation can effectively improve symptoms such as coughing, difficulty breathing, and muscle soreness in patients with mild to severe COVID-19.
https://pubmed.ncbi.nlm.nih.gov/35057437/
and
A study proposed that platycodin D, a compound in Platycodon grandiflorum, is a potent natural product for preventing and treating COVID-19.
https://www.nature.com/articles/s12276-021-00624-9
and
Cell and animal experiments have demonstrated that extracts of Reishi mushroom, Perrila, and Chinese mint exhibit efficacy in inhibiting the COVID-19 virus.
https://www.pnas.org/doi/10.1073/pnas.2021579118
https://www.pnas.org/doi/pdf/10.1073/pnas.2021579118 8 pages
and
Tea polyphenols in green tea and black tea also have broad-spectrum antiviral effects. Animal experiments have found that catechins can inhibit coronavirus replication, enhance immunity, and improve acute lung injury.
https://www.mdpi.com/2076-3921/10/6/928
and
There are also studies indicating that tea catechins and catechin derivatives have the ability to effectively inactivate omicron subvariants.
https://www.nature.com/articles/s41598-023-43563-3 12 page pdf avaliable.
Rand Paul Pulls Back Curtain on the ‘Great COVID Cover-Up’ (16th April 2024).
https://www.theepochtimes.com/opinion/rand-paul-pulls-back-curtain-on-the-great-covid-cover-up-5629596
Expert Warns: mRNA Vaccines Are ‘Completely Unethical’ | Christina Parks (6th April 2024). Video.
Potential of mRNA being integrated into our genes, bacteria taking up this same mRNA, spreading toxic spike proteins into our environment.
https://www.theepochtimes.com/epochtv/expert-warns-mrna-vaccines-are-completely-unethical-christina-parks-5623197
A Limited Hangout on Vaccine Harms (6th May 2025). Epoch Times.
https://www.theepochtimes.com/opinion/a-limited-hangout-on-vaccine-harms-5644489?
Pfizer and a Corruption Too Deep to Fix (10th April 2024). Epoch Times.
https://www.theepochtimes.com/opinion/pfizer-and-a-corruption-too-deep-to-fix-5624319
Fauci Was Wrong When He Said NIH Didn’t Fund Gain of Function Research in China: Officials (2nd May 2024).
Dr. Anthony Fauci’s claim rebutted by government employees.
https://www.theepochtimes.com/health/fauci-was-wrong-when-he-said-nih-didnt-fund-gain-of-function-research-in-china-officials-5641478
Study Suggests COVID Boosters Provide No Added Protection for Kids (6th May 2024).
A third vaccine dose improved antibody titers but did not impact B cell memory or T cell responses, which are more predictive of protection.
https://www.theepochtimes.com/health/study-suggests-covid-boosters-provide-no-added-protection-for-kids-5642383
and
https://www.nature.com/articles/s41591-024-02962-3
$33 Million Transferred From Big Pharma to Doctors in Australia (8th May 2024).
Authors of the paper in the Medical Journal of Australia suggested more transparency is required.
https://www.theepochtimes.com/world/33-million-transferred-from-big-pharma-to-doctors-in-australia-5644944
and
Pharmaceutical company payments to Australian doctors reported to Medicines Australia, 2019–22: a cross‐sectional analysis. (6th May 2024).
Malcolm Forbes, Yeshna Bhowon and Barbara Mintzes
https://www.mja.com.au/journal/2024/220/8/pharmaceutical-company-payments-australian-doctors-reported-medicines-australia
Every article in the New Zealand Doctors Speaking Out with Science website is worthy of your attention, they put a lot of thought, effort and risk to their personal and professional safety to make these issues public:
https://nzdsos.com/
The safety of the Covid-19 injection is entirely dependent on what batch it comes from.
If you are in a category identified as "vulnerable" ie disabled, Maori or retired your batch is different from the doctors and nurses.
Batch-dependent safety of the BNT162b2 mRNA COVID-19 vaccine
https://onlinelibrary.wiley.com/doi/10.1111/eci.13998
Website for articles about Covid-19 warfare: Graphene oxide, nano and micro robotics, interactions with EMF's, interface/neuronal and a lot more.
The Fifth Column: La Quinta Columna (page translates to English)
https://www.laquintacolumna.net/
https://rumble.com/user/nonvaxer420
Children's Health Defense scientific research database:
https://childrenshealthdefense.org/research-database/?itm_term=vaccine-curriculum§ion=Research+Articles
and
For those interested in basic safety and efficacy concerns re: vaccines, start here:
https://childrenshealthdefense.org/vaccine-curriculum/
Aaron Siri REVEALS the Shocking Truth Behind Vaccine Trials.
Russell Brand with attorney Aaron Siri who is taking on Big Pharma. Aborted babies in the vaccine. Lack of safety trials for vaccines. Immunity for vaccine makers. Vaccine and autism.
https://rumble.com/v5wo69t-aaron-siri-reveals-the-shocking-truth-behind-vaccine-trials-sf509.html
Medical Science Research.
Database of thousands of papers on the dangers of vaccines.
https://medscienceresearch.com/
The covid-19 pandemic was an illusion; those in power deliberately ignored science to impose their will on populations to dominate and control them. (1st January 2025). Expose News.
https://expose-news.com/2025/01/01/the-covid-19-pandemic-was-an-illusion/
How to Design and Execute a pLandemic | Dr Thomas Binder
"Thomas Binder studied immunology prior to attending medical school and specialising in Cardiology. When the covid pandemic was announced he realised what was being claimed, did not match reality and so he started to share what he knew to the public. Two medical colleagues with no immunology or other relevant training reported him to authorities for daring to speak against the narrative of a deadly pandemic underway.
An armed squad arrived at his clinic door and arrested him. When they couldn't find grounds to keep him detained, they took him to a psychiatric unit where a "doctor" dressed in personal protective equipment diagnosed him with the non-diagnosis of "covid insanity". He was institutionalised for a period of time, then forced to take psychiatric drugs as an outpatient for a time. He has no psychiatric history.
Throughout history, fascists have done this to innocent civilians in order to keep the population fearful and following their criminal intent. Doctors and academics are often the first targets.
In this clip from a longer-form, riveting interview with Taylor Hudak, Dr Binder describes how PCR (and other screening tests) can be abused, either deliberately or in error, to convince the public of false epidemics.
Dr Binder is co-author of the Corman-Drosten Review Report, a scientific analysis of Christian Drosten's PCR test which was used by the World Health Organisation to "diagnose" covid in human subjects across the globe. This was medical fraud at a level never seen in human history. These people must be held accountable!
http://enformtk.u-aizu.ac.jp/cormandrostenreview.com/index.html%3Fp=644.html
Learn more at this article on a pertussis (whooping cough) pseudo-epidemic in Massachussets in 2006:
https://blog.plan99.net/pseudo-epidemics-7603b2da839
Bird flu is the next "pandemic". Be careful what you believe. Find out about the World Health Organisation's Chief Scientific Officer, Jeremy Farrar, and his decades-long obsession with Bird Flu, at:
https://rokfin.com/post/118217
and
https://johnnyvedmore.com/2022/02/08/the-wellcome-5/
Learn about efforts to remove WHO from their position of power at https://www.actionwh.org/" NZDSOS.
https://rumble.com/v63kkht-how-to-design-and-execute-a-plandemic-dr-thomas-binder.html
Few Side Effects Conclusively Linked to COVID-19 Vaccines: National Academies (18th April 2024).
Organization claims just a handful of side effects definitely or likely are caused by the vaccines.
https://www.theepochtimes.com/health/few-side-effects-conclusively-linked-to-covid-19-vaccines-national-academies-5632034
and
A study funded by the CDC: patients not vaccinated for the respiratory syncytial virus had similar disease severity to unvaccinated COVID or influenza patients
https://jamanetwork.com/journals/jamanetworkopen/fullarticle/2817146
and
But the study’s supplemental data contradicted the study’s findings.
https://cdn.jamanetwork.com/ama/content_public/journal/jamanetworkopen/939344/zoi240209supp1_prod_1711482482.91232.pdf (link doesn’t appear to work anymore)
Dr. Robert Malone: Donald Trump is being swindled by Larry Ellison, mRNA vaccines and Ai | Redacted (1st February 2025).
Horrors Reported to HHS VAERS: Many Reports Of People Amputated After C19 Shots
https://www.bitchute.com/video/MZvw0blOGj87/
Evidence of Harm in VAERS (3rd January 2025). James Roguski
The Vaccine Adverse Event Reporting System (VAERS) is certainly very deeply flawed, but the amount of valuable information that it has revealed is astonishing.
Indigenous Affairs documents reveal frenzied programs to inject native communities with covid vax across Ontario (29th January 2025). Scoops McGoo
The Ministry of Health Granted Vaccine Exemptions to Hundreds Among Its Key Staff (New Zealand, 4th October 2023).
... This process was certainly approved by Dr. Ashley Bloomfield who himself gained considerable notoriety by refusing vaccine exemptions to those among the public severely injured by their first jab, insisting that they continue with a vaccination schedule. Given Dr. Bloomfield’s close working relationship with Jacinda Ardern and Chris Hipkins it is quite likely they were both aware of the process and approved it. The opposition leaders were also likely kept in the loop.
The criteria for granting exemptions apparently entailed an assessment concerning how vital staff were to the working of the health service. In other words, senior figures and those holding key surgical positions could actually insist they remain unvaccinated and continue to be allowed to work. Whilst unvaccinated nurses for example could not gain exemptions and lost their positions. ...
https://hatchardreport.com/the-ministry-of-health-granted-vaccine-exemptions-to-hundreds-among-its-key-staff/
$33 Million Transferred From Big Pharma to Doctors in Australia (8th May 2024).
Authors of the paper in the Medical Journal of Australia suggested more transparency is required.
https://www.theepochtimes.com/world/33-million-transferred-from-big-pharma-to-doctors-in-australia-5644944
Gates-Funded Self-Assembling Microcrystal Implants Mark a New Phase in Population Control (26th April 2025) Nicolas Hulscher, MPH
Irreversible anti-fertility implants would accelerate the global population collapse already forecast by Gates-funded studies.
Studies of unvaccinated American kids are showing inconvenient truths (11th April 2025) J.B. Handley
The body of work is growing and consistent: without vaccines kids are healthier.
Top Pediatrician: Vaccines Cause 97% of Sudden Infant Deaths (14th April 2025) Frank Bergman
Oh you thought it was a 'conspiracy theory'? That is what they want you to think. The conspiracy is not a theory.
https://slaynews.com/news/top-pediatrician-vaccines-cause-97-sudden-infant-deaths/
RFK COMPLETELY Changes Rules For Vaccine Safety Testing! (4th May 2025) The Jimmy Dore Show
Now all vaccines must be tested against a placebo. In America. They are not already? Who in their right mind would approve them then?
Orthogonal CDB/Morgellons Protein Formations In Blood, Saliva, Skin and Pupils From Amy And Neo (26th February 2025) Neo
Biomineralization?? is what makes the orthogonal photonic crystals? metallic in color
https://substack.com/home/post/p-157937882
HEXAGONAL/ORTHOGONAL PUPILS (11th April 2025) Neo.
Sometimes you need to know what to look for
https://substack.com/home/post/p-161001787
From Vaccine Pusher to Terminal Cancer Victim: James Whale, Talk TV
https://rumble.com/v6t00et-from-vaccine-pusher-to-terminal-cancer-victim-james-whale-talk-tv.html
Endogenous Re-adenylation by TENT5A Prolongs Life of mRNA Vaccines in Human Cells (27th April 2025) Peter A. McCullough, MD, MPH
Discovery Explains why Pfizer and Moderna Persist in Certain Cell Lines
FDA Recommends More mRNA Shots Despite New Study Showing Booster Failure—and Major Public Outcry (27th May 2025) Nicolas Hulscher, MPH
FDA VRBPAC ignores new real-world study of 1.9 million showing mRNA booster campaign failure
https://x.com/Humanspective/status/1822107103881994633 (10th August 2024)
❤️🧬Pfizer forgot to do a ranked Bio-Accumulation list for their Pfizer mRNA Covid Vaccine, so I've done one for them 🧬❤️ Here's lipid Nanoparticle bioaccumulation of Pfizer mRNA, ranked highest to lowest, 48 x hours after vaccination:
1. Liver - 24.29
2. Spleen - 23.35
3. Adrenal Glands - 18.21
4. Ovaries - 12.26
5. Bone Marrow - 3.77
6. Small Intestine - 1.472
7. Lymph Node (mesenteric) - 1.366
8. Large intestine - 1.34
9. Lung - 1.09
10. Thyroid - 1.00
11. Lymph node (mandibular) - 0.727
12. Pituitary gland - 0.694
13. Bone (femur) - 0.687
14. Pancreas - 0.599
15. Heart 0.55 ❤️
16. Uterus - 0.456
17. Kidneys - 0.42
18. Bladder - 0.365
19. Thymus - 0.331
20. Testes (males) - 0.320
21. Salivary glands - 0.264
22. Skin - 0.253
23. Stomach - 0.215
24. Muscle - 0.192
25. Adipose tissue - 0.181
26. Prostate (males) - 0.170
27. Eyes - 0.112
28. Spinal cord - 0.112
29. Brain - 0.068
Removed - (Injection Site - 164.9; Plasma 0.81, Blood:plasma ratio 0.540, Whole blood - 0.42)
This data is sourced from the Australian TGA FOI request, covered by Dr John Campbell and Professor Robert Clancy (below clip). Can you guess what I was wondering about with the selections in "bold"?
[I only see ‘Mean concentration of radioactivity …’]
and
https://www.tga.gov.au/sites/default/files/foi-2389-06.pdf
and
Vaccine report FOI, Professor Clancy (26th March 2023) Dr John Campbell
and
At Least 55Undeclared Chemical Elements Found in COVID-19 Vaccines from AstraZeneca, CanSino, Moderna, Pfizer, Sinopharm and Sputnik V, with Precise ICP-MS 1 (October 2024)
https://cdn.manula.com/user/15577/docs/11102024-diblasi-et-al-icp-ms-final-05092024.pdf
Did the MMR Vax Really End Measles in the US? How Do Vaxxed Kids Compare to Unvaxxed Kids in Health?
(5th April 2024). Video.
https://www.theepochtimes.com/epochtv/did-the-mmr-vax-really-end-measles-in-the-us-how-do-vaxxed-kids-compare-to-unvaxxed-kids-in-health-5622308Ivermectin for Autoimmune Disease and Arthritis (6th June 2025) MYAutoimmuneMD
"Ivermectin, a well-known antiparasitic drug, is now being explored for its potential role in managing autoimmune diseases and inflammatory conditions like arthritis."
and
Ivermectin inhibits LPS-induced production of inflammatory cytokines and improves LPS-induced survival in mice (2008)
X Zhang 1, Y Song, X Ci, N An, Y Ju, H Li, X Wang, C Han, J Cui, X Deng
https://pubmed.ncbi.nlm.nih.gov/19109745/
and
Evaluation of therapeutic potential of ivermectin against complete Freund's adjuvant-induced arthritis in rats: Involvement of inflammatory mediators (2023)
Muhammad Ali Khan, Tasleem Akhtar 1, Nadia Naseem 2, Usman Aftab, Safdar Hussain, Muhammad Shahzad
Note this study uses steroids as well as Ivermectin so unable to conclude Ivermectin was solely responsible for the results.
https://pubmed.ncbi.nlm.nih.gov/37085956/
and
Common Anti-Parasitic Agent Eases Motor Symptoms, Aids Remyelination in MS Mouse Model (13th July 2018) by Alice Melão, MSc | Ju
https://multiplesclerosisnewstoday.com/2018/07/13/anti-parasitic-agent-eases-ms-motor-symtoms-aid-remyelination-in-ms-mice/
MIT Study Finds Artificial Intelligence Use Reprograms the Brain, Leading to Cognitive Decline (22nd June 2025) Nicolas Hulscher, MPH
ChatGPT impairs memory and persistently suppresses brain activity—raising urgent concerns about long-term neural harm.
Does the Government Own Your Organs? What You a Don't Know Can Kill You | Dr Paul A Byrne MD (1st April 2025) Liberty and Finance
How is brainwashing employed to coerce donors families to feed the organ industry?
The medical/industrial/government collusion
The Harvard manufactured term "brain death" is a lie not based on science.
Living patients given paralytic before organs harvested.
Dr. Byrne - Jaw-dropping Discussion with one of the Founders of Neonatal/Perinatal Medicine (8th December 2017)
Science is never settled, unless it is dogma. Then it is religion, not science. What if this model is right and 'the heart as circulatory pump' is just a bad guess, based on primitive understanding? (23rd June 2025) Rima E Laibow MD
Jon Stewart Just Said Bill Gates Injected All of Us with Chips During COVID (19th June 2025) Karen Kingston
DECADES OF CORRUPTION: Congressional Report Confirms CDC’s ACIP Has Been Compromised Since the 1990s (11th June 2025) Nicolas Hulscher, MPH
1 in 4 U.S. Infants Has No Bifidobacterium, Landmark Study Finds (1st July 2025) Nicolas Hulscher, MPH
The missing microbe plays a critical role in healthy development — and its absence triples the risk of allergies, asthma, and eczema in early childhood.
The flood is rising! 110 new studies reconfirm what we've shown here: that "vaccination" kills, and cripples, and makes people dangerously crazy (11th June 2025) Mark Crispin Miller
Episode 184: Evidence, Ethics, and the Crusade for Truth
Dr. Tess Lawrie, MBBCh, PhD interviewed by Steve Kirsch. 1 hour fifteen minutes.
https://rumble.com/v6vl04x-episode-184-evidence-ethics-and-the-crusade-for-truth.html
Multivitamin Use and Mortality Risk in 3 Prospective US Cohorts (June 2024)
Erikka Loftfield, Caitlin P. O’Connell, Christian C. Abnet, et al
https://jamanetwork.com/journals/jamanetworkopen/fullarticle/2820369?resultClick=3
What They Don't Tell Us About Heart Disease (27th July 2025) A Midwestern Doctor
Unpacking the Great Cholesterol Scam and the Dangers of Statins
Details on the Shingles Vaccine | Dr Jeffrey Barke
https://rumble.com/v6xzrie-details-on-the-shingles-vaccine-dr-jeffrey-barke.html
Bill Gates’ Massive Vaccine Scam EXPOSED By RFK! (9th September 2025) The Jimmy Dore Show
NEW STUDY: Pfizer’s Birth Control Shot Used by 25% of U.S Women Linked to Disabling Brain Tumours (19th October 2025) Nicolas Hulscher, MPH
A massive study of 61 million women finds Depo-Provera increases risk of meningioma by 240%
and
Depot Medroxyprogesterone Acetate and Risk of Meningioma in the US (September 2025) Tianqi Xiao, MD; Pranav Kumar, BA; Mina Lobbous, MD, MSPH et al
https://jamanetwork.com/journals/jamaneurology/article-abstract/2838202





































































































































































































